Devrim Mehmet Logo

Denizlerin Görünmez Sınırları: Münhasır Ekonomik Bölge (MEB) Nasıl Hesaplanır?

6 dk okuma
Denizlerin Görünmez Sınırları: Münhasır Ekonomik Bölge (MEB) Nasıl Hesaplanır?

Karasularının hemen ötesinde başlayan ve bir kıyı devletinin deniz yatağı ile su kütlesi üzerindeki ekonomik haklarını belirleyen o devasa alan: Münhasır Ekonomik Bölge (MEB). Mavi Ekonomi'nin temelini oluşturan bu sınırlar, sadece harita üzerinde çizilmiş düz çizgiler değildir; arkasında karmaşık bir matematik, jeodezi ve uluslararası hukuk yatar. Peki, bir ülke "Burası benim MEB'im" dediğinde bu hesaplama nasıl yapılır? Bu yazımızda, kağıt kalemle MEB hesaplamanın mümkün olup olmadığını ve bu sürecin teknik zorluklarını mercek altına alıyoruz.

Sınırın Başlangıcı: Esas Hatlar (Baselines)

MEB hesaplamasının kalbi, kıyı çizgisidir. Ancak denizler hareketlidir. Bu yüzden hesaplama, Esas Hat adı verilen referans çizgisinden başlar.
  1. Normal Esas Hat: Genellikle haritalardaki en düşük su seviyesidir (cezir çizgisi).
  2. Düz Esas Hat: Eğer kıyı çok girintili çıkıntılıysa veya önünde adalar zinciri varsa, bu uç noktaları birleştiren hayali düz çizgiler kullanılır.
İlk adım, bu hatların koordinatlarını (WGS84) hassas bir şekilde belirlemektir.

200 Deniz Mili Sınırı: Bir Geometri Problemi

Uluslararası Deniz Hukuku Sözleşmesi'ne (UNCLOS) göre MEB, esas hatlardan itibaren en fazla 200 deniz mili (yaklaşık 370,4 km) açığa kadar uzanabilir. Eğer önünüzde başka bir ülke yoksa, işlem basit bir "buffer" (tampon bölge) oluşturmaktır. Ancak Dünya düz bir kağıt değil, bir elipsoiddir. Bu mesafe hesaplaması Jeodezik (Geodesic) bir işlemdir. Görsel Notu: Adım 1'de esas hatların belirlenmesi, Adım 2'de elipsoid üzerindeki 200 milin hesaplanması Adım 3'te komşu ülkelerle olan karmaşık orta hat (equidistance) çizimi özetlenmiştir.

En Büyük Zorluk: Orta Hat (Median Line) İlkesi

MEB hesaplamalarının en karmaşık ve hukuki tartışmalara gebe kısmı burasıdır. Eğer iki ülkenin kıyıları birbirine yakınsa (örneğin Ege veya Doğu Akdeniz), 200 mil kuralı uygulanamaz çünkü alanlar çakışır. Bu durumda, Eşit Uzaklık (Equidistance) veya Orta Hat ilkesi devreye girer.
Orta Hat: İki ülkenin esas hatlarındaki en yakın noktalara, tam olarak eşit uzaklıkta bulunan noktaların birleştirilmesiyle oluşan çizgidir.
Bu, kağıt üzerinde pergel ve cetvel ile yapılsa da, kıyıdaki her bir girinti veya her bir küçük ada, orta hattın kırılma noktalarını değiştirir. Manuel olarak binlerce noktayı karşılaştırıp orta noktayı bulmak, pratik olarak imkansızdır.
Denizlerin görünmez sınırlarını belirlemek, bir harita mühendisliği harikasıdır. Bir kıyı devletinin deniz yatağı ve su kütlesi üzerindeki ekonomik haklarını (balıkçılık, enerji, madencilik) tanımlayan Münhasır Ekonomik Bölge (MEB) hesaplaması; jeodezi, ileri matematik ve uluslararası hukukun kesiştiği, hata payının milyonlarca dolarlık kayba yol açabileceği teknik bir süreçtir.

MEB sınırının nasıl inşa edildiğine dair, haritacılık terminolojisini de içeren kapsamlı ve derinlemesine rehber

1. Referans Sistemleri ve Jeodezik Temeller: Dünya Bir Kağıt Değildir

MEB hesaplaması, basit bir Öklid geometrisi (düzlem geometrisi) problemi değildir. Bir yazılımcı gözüyle bakarsak, burada kullanılan "coordinate system" seçimi her şeyi değiştirir.
  • WGS84 Elipsoidi: Dünya tam bir küre değildir. Kutuplardan basık, ekvatordan şişkindir. Manuel hesaplamada Dünya'yı bir portakal (küre) gibi düşünürüz, ancak profesyonel hesaplamada WGS84 (World Geodetic System 1984) elipsoid modeli kullanılır.
  • Geoid vs. Elipsoid: Deniz seviyesi (Geoid) ile matematiksel model (Elipsoid) arasındaki farklar, dikey referanslarda sapmalara neden olur.
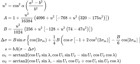
  • Mesafe Tanımı (Geodesic): İki nokta arasındaki mesafe düz bir çizgi değil, elipsoid üzerindeki en kısa eğri olan jeodezik (geodesic) hattır. 200 deniz milinde bu eğrilik ihmal edilemez.

2. Esas Hatların (Baselines) Matematiksel İnşası: Nokta ve Çizgi

Hesaplamanın "Input" verisi kıyı çizgisidir. Haritacılıkta bu, binlerce koordinatın (Point) birleşmesiyle oluşan bir Polyline'dır.
  • Normal Esas Hat (Point to Line): Genellikle haritalardaki en düşük su seviyesidir (LAT - Lowest Astronomical Tide). Burada zorluk, kıyı çizgisinin gelgitlerle sürekli değişmesidir. Bu çizgiyi dijitalleştirmek (digitizing), binlerce hassas nokta gerektirir.
  • Düz Esas Hat (Straight Baselines): Girintili çıkıntılı kıyılarda veya kıyıya paralel adalar zincirinde, uç noktalar (base points) seçilir ve bunlar hayali düz çizgilerle birleştirilir.
    • Kural: Bu hatlar kıyının genel yönünden aşırı sapmamalıdır. Bu, matematiksel bir "kıyı yönelim analizi" gerektirir.

3. 200 Deniz Mili Sınırı: "Buffer" (Tampon Bölge) Analizi

Esas hat belirlendikten sonra, bu hattın her noktasından dışarıya doğru bir Alan (Polygon) oluşturulur.
  • Enveloping Arcs (Zarf Yayları): Bu yöntemde, esas hattaki her bir çıkıntılı noktadan (basepoint) 200 deniz mili yarıçapında yaylar çizilir. Bu yayların en dışta kalan kesişim noktaları (intersection points) MEB'in dış sınırını belirler.
Matematiksel Model: Haversine vs. Vincenty:
Küresel bir dünyada mesafeyi bulmak için paylaştığınız Haversine Formülü kullanılır: Ancak yüksek hassasiyet (milimetrik doğruluk) için, elipsoidin basıklığını (f ) da işin içine katan Vincenty Formülleri tercih edilir. Manuel hesaplamada Vincenty formüllerini çözmek, devasa iterasyonlar gerektirdiği için pratikte imkansızdır.

4. Orta Hat (Median Line) Algoritması ve Voronoi Mantığı

Eğer iki ülkenin kıyıları birbirine yakınsa (örneğin Doğu Akdeniz), 200 mil kuralı uygulanamaz çünkü alanlar çakışır. Burada Eşit Uzaklık (Equidistance) ilkesi devreye girer.
  • Algoritma: Orta hat, her iki ülkenin esas hat noktalarına tam olarak eşit uzaklıktaki noktaların birleşimidir. Bilgisayar bilimindeki Voronoi Diyagramları mantığıyla çalışır. Kıyıdaki binlerce noktadan hangisinin sınıra en yakın olduğunu bulmak için sürekli bir optimizasyon yapılır.
  • Adaların Etkisi: Küçücük bir kayalık (Point), orta hattı kilometrelerce kaydırabilir. Hukuki süreçte bu adaya "tam etki", "yarım etki" veya "etki yok" kararı verilir. Yarım etki verilmesi durumunda, matematikçiler orta hattı geometrik olarak %50 oranında sönümlerler.

5. Profesyonel Yazılımlar Neden Şart?

Bir yazılımcı olarak sistemin karmaşıklığını şu tabloyla özetleyebiliriz:
Özellik Manuel Hesaplama (Kağıt/Kalem) Profesyonel Yazılım
Model Düz Dünya / Basit Küre WGS84 / GRS80 Elipsoidi
Hassasiyet Kilometrelerce hata payı Milimetrik (Digital Precision)
Veri İşleme Sınırlı sayıda nokta Saniyeler içinde milyonlarca nokta
Hukuki Geçerlilik Tahminidir, bağlayıcılığı yoktur BM ve UAD standartlarına uygundur
Hesaplama Yöntemi Pergel ve cetvel İteratif jeodezik algoritmalar

Özet: Noktadan Alana Giden Yol

MEB hesaplaması; kıyıdaki Noktaların (Points) belirlenmesiyle başlar, bu noktaların birleşerek Esas Hatları (Lines) oluşturmasıyla devam eder ve elipsoid üzerindeki jeodezik hesaplamalarla devasa bir Ekonomik Alan (Polygon) ile sonuçlanır.

Manuel Hesaplama Mümkün mü?

Kısa cevap: Teknik olarak evet, ancak pratik ve hukuki olarak hayır. Bir hobi projesi veya ön analiz için bir harita üzerinde kaba taslak bir çizim yapabilirsiniz. İki nokta arasındaki mesafeyi bulmak için Haversine formülü gibi matematiksel denklemlerden yararlanabilirsiniz. Ancak bu hesaplamaların hata payı çok yüksektir. Neden Profesyonel Yazılımlar Kullanılır?
  1. Hassasiyet: Dünya'nın tam şeklini (elipsoid/WGS84) dikkate alırlar.
  2. Veri Hacmi: Binlerce kıyı koordinatını saniyeler içinde işleyebilirler.
  3. Hukuki Geçerlilik: Uluslararası mahkemeler ve Birleşmiş Milletler, sertifikalı, yüksek hassasiyetli yazılımların algoritmalarıyla üretilen sayısal koordinatları temel alır.
Denizlerin görünmez sınırları, matematiğin ve hukukun en hassas dengelerinden biridir. Kağıt kalemle başlasa da, nihai harita daima dijital dünyanın hassasiyetine ihtiyaç duyar. Bu sınırların arkasında, Haversine formülünden çok daha karmaşık olan jeodezik diferansiyel denklemler ve uluslararası hukukun "hakkaniyet" (equity) ilkesi yatar. Kağıt kalemle bir taslak çizmek hobi olarak keyifli olabilir, ancak bir ulusun kaderini belirleyen o "mavi vatan" sınırları, dijital dünyanın kusursuz hassasiyetine muhtaçtır.